[要約]
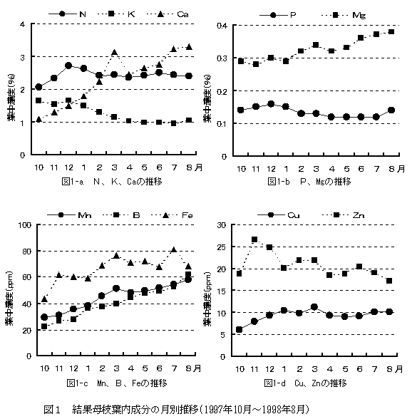
夏枝を結果母枝に利用したハウスみかんの葉内成分は、加温開始期以降、N、P、 Cuは緩やかな低下もしくは横ばい傾向を示す。Ca、Mg、 Mn、B、Feは増加し、K、Znは低下する。
| [キーワード] | ハウスみかん、結果母枝、夏枝、葉内成分 |
| [担当] | 愛知農総試・園芸研究所・蒲郡支所 |
| [連絡先] | 0533-68-3381 |
| [区分] | 関東東海北陸農業・果樹 |
| [分類] | 技術・参考 |
[背景・ねらい]
夏枝を母枝としたハウスみかん栽培における栄養診断は、その作型の相違から露地栽培のデータをそのまま応用することは難しい。そこで、結果母枝の緑化後から収穫期にかけての結果母枝における葉内無機成分の推移について検討し、夏枝を結果母枝とするハウスみかんの施肥及び栄養診断の基礎資料とする。
[成果の内容・特徴]
[成果の活用面・留意点]
[具体的データ]


[その他]
| 研究課題名 | :カンキツ施設栽培の生産安定 |
| 予算区分 | :県単 |
| 研究期間 | :1999年度 |
| 研究担当者 | :高瀬輔久、本美善央、榎谷一則 |