水稲新品種「ちば28号」の好適生育相と基肥窒素施用量


[要約]
水稲品種「ちば28号」の早期栽培において、千粒重や食味の低下を防ぎ、600~630kg/10aの収量を確保するには、穂数400~450本/m2、籾数31,000~35,000粒/m2が適当である。幼穂形成期における目標茎数は450~550本/m2と推定され、茎数の確保に必要な基肥窒素施用量は、壌質土では「コシヒカリ」より1~2kg/10a多い、4~5kg/10aである。

[キーワード]水稲、ちば28号、早期栽培、好適籾数、基肥窒素量

[担当]千葉農総研・生産技術部・水田作研究室
[連絡先]電話043-292-0016
[区分]関東東海北陸農業・関東東海・水田畑作物(稲)
[分類]技術・普及

[背景・ねらい]
 気象変動に強く、耐病性に優れた良質・良食味の中生新品種「ちば28号」の2006年からの一般栽培に向け、好適生育相及び安定栽培技術を明らかにする。

[成果の内容・特徴]
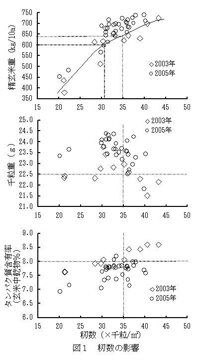
1. 籾数の増加に伴って精玄米重は増加するが、「ちば28号」の特徴である玄米千粒重22.5g以上の大粒及び玄米中タンパク質含有率8%以下の良食味米生産のためには、籾数は35,000粒/m2以下が適正である。また、籾数31,000粒/m2以下では600kg/10aの収量確保は難しいことから、目標収量600~630kg/10aに対応する好適籾数は31,000~35,000/m2である(図1)。
2. 穂数の増加により籾数も増加する(図2)。また、穂数は幼穂形成期の茎数から推定できる(図3)。好適籾数から判断すると、目標穂数は400~450本/m2であり、幼穂形成期の目標茎数は450~550本/m2となる。また、このときの葉色(SPAD値)は、38~42が適当である(データ略)。
3. 目標茎数の確保が可能な基肥窒素量は、壌質土で4~5kg/10aである(図4)。

[成果の活用面・留意点]
1. 2004年度は、登熟期間が著しく高温多照であり、特殊な多収年であったため、データ解析からは除いた。
2. 得られた成果は、温暖地における4月下旬稚苗移植の早期栽培に適用できる。
3. 砂質土における基肥窒素施用量は5~6kg/10a、粘質土では3~4kg/10aを基本とする。
4. 穂肥は、「コシヒカリ」並みに、窒素及び加里成分3kg/10aを出穂前18日に施用する。


[具体的データ]




[その他]
研究課題名:有望系統等良食味・高品質米生産安定技術の確立
予算区分:県単
研究期間:2003~2005年度
研究担当者:篠田正彦、小山 豊

目次へ戻る