箱ワナで捕獲されるイノシシを移動・運搬・処理するための牽引式小型ケージ
|
|
| [要約] |
この小型ケージは、箱ワナで捕獲されたイノシシを安全で短時間に移動でき、しかも捕獲イノシシの運搬が大型個体でも一人で迅速に行うことができる。止め刺し用具によるイノシシの処理も的確かつ容易となる。 |
![]()
[キーワード]イノシシ、箱ワナ捕獲、捕獲処理、移動式、安全な処理 |
![]()
[担当]栃木県県民の森管理事務所、栃木県自然環境課、中央農研鳥獣害研究サブチーム
[代表連絡先]電話:0287-43-0479
[区分]関東東海北陸農業・関東東海・病害虫(鳥獣害)
[分類]技術・普及 |
|
| [背景・ねらい] |
農産物に甚大な被害を及ぼすイノシシを大型の箱ワナで捕獲した場合、獲物が罠の中で暴れ、熟練した猟師でも処理が難しくなる。また、捕獲個体の処理に危険が伴うとともに時間も掛かるため、特にワナ免許しか持たない初心者には箱ワナ内での処理は困難とされる。捕獲地点によっては周辺住民の目にさらされ、銃の使用ができないこともあるので、処理に適した場所に運搬しなければならない。このため、箱ワナ捕獲した中大型のイノシシにも対応し安全かつ迅速に、また適切な場所へ運搬し処理するためのケージを開発する。 |
![]()
[成果の内容・特徴] |
| 1. |
ケージ本体は縦50cm・横95cm・高さ70cmの箱形・鉄メッシュ製(Φ5㎜、10㎝目)で、重量は50.5kgである。本体下部には車輪が付いていて、ケージの運搬が容易である(図1)。本体上部には、扉を落とすガイドが40cm突出している。 |
| 2. |
ケージは箱ワナ(通常、縦1m 横2m 高さ1m 程度)と対面させて設置する(図2)。この時、車輪を外側へ外せるのでケージと箱ワナの固定が強固となり、個体の移動作業時にペグ等固定用具が不要となる。ケージには、箱ワナとの隙間を埋める脱出防止板及び箱ワナに固定する鎖が装備され、箱ワナとの着脱が確実かつ容易である。 |
| 3. |
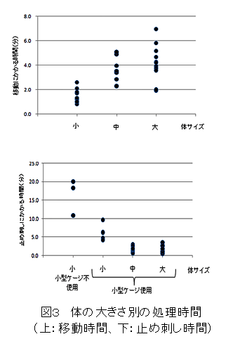
箱ワナとケージの入口を開けてイノシシを移しかえた後は、ケージの扉が開かないようストッパーが自動で掛かる。また、イノシシが小型ケージ内に突進する場合でも、鎖で固定されているため安全である(図1)。ケージへのイノシシの移動は、ケージの箱ワナへの着脱時間も含めて中型サイズ(25~45kg)では平均3分56秒、大型(45kg以上)では4分15秒で完了する(図3)。 |
| 4. |
捕獲個体の移動後は、ケージの車輪を元に戻し、牽引用ステーを持ってリヤカー方式で牽引し処理に適した場所まで運搬する(図2)。この方式により100kg以上の大型個体や複数頭の運搬も可能である。 |
| 5. |
捕獲個体の処理では、10㎝目の鉄メッシュの間から角材等を差し込んで動きを封じることにより、止め刺しは安全・確実・迅速に実行できる。止め刺しの所要時間は中型サイズで平均1分23秒、大型では1分5秒である(図3)。 |
|
![]()
[成果の活用面・留意点] |
| 1. |
小型ケージは箱ワナと併用することにより、わな免許新規取得者でも小型から大型個体まで対応でき、被害農家等の非熟練者が安全に捕獲個体を処理するのに役立つ。本製品は既に販売実績もあり実用化されているが、大型個体にも対応させるため頑丈で重く、森林内への搬入は困難なため、今後は軽量化を図りたい。 |
| 2. |
捕獲イノシシの迅速な処理、また、衛生的な処理施設への運搬移送が可能となるため、獣肉利用として期待される大型の捕獲イノシシの活用が可能となる。 |
| 3. |
この開発技術は、発明協会公開技法(公技番号2009-505316)に掲載され、新技術としての権利化が後願排除されている。またこの技術の詳細図等は、県民の森のHP http://www.pref.tochigi.lg.jp/eco/shizenkankyou/shizen/kiyou.html に掲載する。 |
|
![]()
[具体的データ] |
|
|
| [その他] |
研究課題名:イノシシの効果的捕獲技術の確立に関する研究
予算区分:県単(2007~2011年度)、実用技術(2008~2009年度)
研究期間:2007~2011年度
研究担当者:松田奈帆子・新部公亮(栃木県県民の森管理事務所)、丸山哲也(栃木県自然環境課)、仲谷 淳(中央農研)、中田栄次(足利市)
|
|
| 目次へ戻る |