シュンギク内容成分の葉位別分布と代表値の推定


[要約]
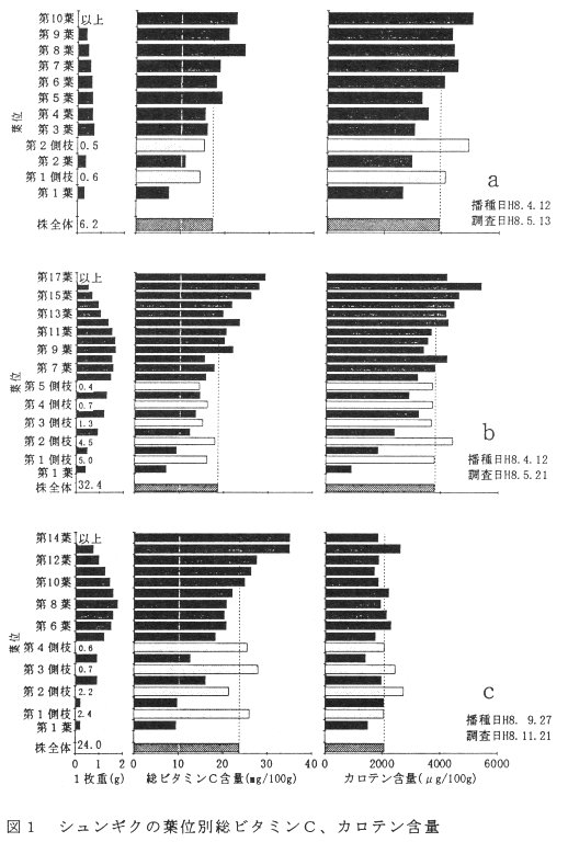
収穫直後のシュンギクの総ビタミンC及びカロテン含量は、上位葉ほど高い。また、その時点の最大葉(側枝を除く)付近の葉の分折値が株全体の代表値として適している。
 大阪府立農林技術センター・環境部・農産利用室
[連絡先]0729-58-6551
[部会名]流通利用
[専 門]加工利用
[対 象]葉茎菜類
[分 類]研究

[背景・ねらい]
 近赤外分光法は、青果物の一部分を用いて株全体の内容成分値を推定する測定法であるので、シュンギクなどの葉菜類では、照射部位を決定することが重要となる。
 そこでシュンギクについて内容成分の葉位別分布を調査し、株全体の代表値となる葉位(測定部位)の検討を行う。

[成果の内容・特徴]

  1. 葉位ごとの総ビタミンC及びカロテン含量(10株平均)は、葉数の多少によらず、いずれの時期も下位葉は低く、上位葉ほど高く、側枝(葉を含む)も比較的高い(図1のaとb)
  2. 最大葉(この場合は最も重い葉、図1aの第3葉、bの第9葉、cの第8葉)における総ビタミンC含量は、株全体の分析値と比較して0.88~1.18倍であり、ほぼ同じ値を示した。さらに、最大葉及び上位2葉では、株全体の1.02~1.14倍(平均)であった。このことから、総ビタミンCに関して、最大葉付近の葉は株全体を代表しているといえる(図1)
  3. 同様に、最大葉(aの第3葉、bの第9葉、cの第8葉)におけるカロテン含量は、株全体における含量の0.78~0.94倍であり、さらに、最大葉及び上位2葉では0.93~1.01倍(平均)である。このことから、カロテンも最大葉付近の葉が株全体を代表しているといえる(図1)
  4. 以上のことから、最大葉付近の葉の総ビタミンC及びカロテン含量を株全体の値とすることができる。

[成果の活用面・留意点]
  1. 総ビタミンC及びカロテン含量は最大葉付近の葉を1枚分析することにより、株全体の代表値として推測できる。
  2. 最大葉付近の葉は、近赤外分光法における照射部位とすることができる。
  3. 株張中葉系品種を用いたので、他の品種についてはさらに検討を要する。

[その他]
 研究課題名:内部品質を重視した地域農産物及びその加工製品の非破壊品質判定技術の開発
 予算区分  :国補(地域重要新技術)
 研究期間  :平成8年度(平成6~8年)
 研究担当者:原 忠彦、中村 隆、橘田浩二

目次へ戻る