ニホンナシ「二十世紀」の肥大モデルによる果実肥大の推定
- [要約]
- ニホンナシ「幸水」で開発された肥大モデルを「二十世紀」に応用し、精度の高い果実肥大の推定ができる。また、産地の付近にあるアメダスの日照時間を利用することで、産地での果実肥大(果実体積、横径)の推定も精度良く行える。
兵庫県立北部農業技術センター・農業部
[連絡先] 0796-74-1230
[部会名] 果樹
[専 門] 農業気象
[対 象] 果樹類
[分 類] 指導
-
[背景・ねらい]
- 肥大予測として、温度変換日数法によるものが開発されているが、寡日照の年には精度が低下することから、より精度の高い予測法が求められている。そこで、果樹試で開発された「幸水」の肥大予測法(杉浦、1997)を「二十世紀」に応用し、肥大予測法を開発する。
[成果の内容・特徴]
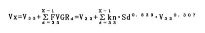
- 「幸水」の肥大モデルによると1日当たりの果実体積生長速度FVGR( Fruit Volume Growth Rate)(cm3 /day)は、FVGR=kn・Sdb ・V33 p (kn:係数、Sd:日射量(MJ/㎡/day)、V33 :満開後33日目の果実体積(cm3 ) (V=W2 ・h・π/6000 (W:横径(mm)、h:縦径(mm) )と表される。
「二十世紀」における過去の果実径(横、縦)と日射量からこのモデル式のパラメーターを求めると、開花X日後の果実体積Vx(cm3 )は、

と推定できる(係数knの変動は図1)。
- 得られた計算式から、平成7~10年の実測値と推定値を比較すると、平成8~10年の実測値と推定値は比較的良く適合し、寡日照の平成10年でも精度良く推定できる(図2)。但し、干ばつ傾向であった平成7年はずれが大きい。
- アメダスの日照時間を用いて上原ら(1989、農業気象)の式により日射量を推定した。この推定値を利用し、アメダスに近い産地の肥大予測を試みたところ、平成8~10年の実測値と推定値は比較的良く適合する(図3)。但し、干ばつ傾向であった平成6、7年や黒斑病による落果が多い場合には、ずれがみられるが、冷夏年の平成5年や寡日照の平成10年でもよく適合している。
- 横径での利用が多いことから、果実体積から横径を求める式を作成した。
W=(6000・V/π/e0.511 )0.351 (V:果実体積(cm3 )、W:横径(mm) )
産地の横径の推定値と実測値は、果実体積を推定した場合と同様に良く適合する(図4)。
[成果の活用面・留意点]
果実肥大の推定は干ばつ年や黒斑病による落果が多い場合、精度が低下する。
[その他]
研究課題名:ナシ気象感応試験、農林水産省依頼研究(平成11年度)
予算区分 :単県
研究期間 :平成11年度(昭和45年~)
研究担当者:松浦克彦
発表論文等:なし
目次へ戻る