酒造好適米品種「千本錦」における品質向上のための施肥基準


[ 要約 ]
酒造好適米品種「千本錦」の品質安定化には、出穂10日前のSPAD値を35に近づける必要がある。このため、出穂20日前に葉色診断を行い穂肥施肥量を決定するためのめやすを策定した。
広島県立農業技術センター・生物工学研究所・育種研究室
広島県立農業技術センター・作物研究部
[連絡先]0824-29-0521 
          0824-29-0521 
[部会名]作物生産(育種・栽培)
[専 門]栽培
[対 象]稲類
[分 類]普及  
 

[背景・ねらい]
 新たに広島県の奨励品種に採用した大吟醸用酒造好適米「千本錦」の普及拡大を図るため、品質安定生産技術を開発する。このため、普及対象地域(双三郡三和町、高田郡高宮町)で葉緑素計を利用した葉色診断を行い最適な穂肥施用量を決定する。

[成果の内容・特徴]

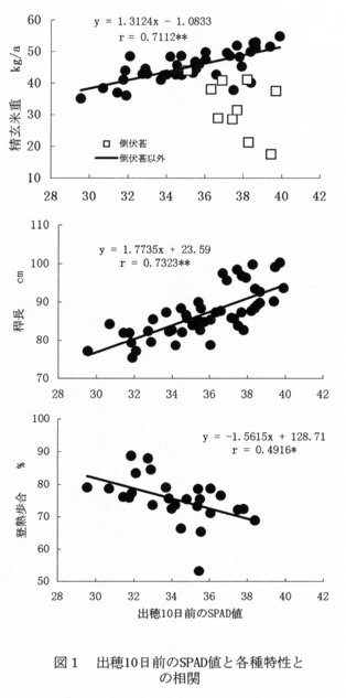
  1. 出穂10日前(葉耳間長 0cm)のSPAD値(葉緑素計値)が36以上になると倒伏が甚大となり、これが原因で低収となる場合がある(図1)。
  2. 出穂10日前のSPAD値が35の場合、甚大な倒伏は起こらず、精玄米収量は45kg/a程度、稈長は85cm程度で、登熟歩合も80%程度となり(図1)、心白の発現も良好である。
  3. 出穂10日前のSPAD値が35の場合、90%精米のタンパク含有率が 6%以下となり、良質の酒造特性を維持できる(図2)。
  4. 出穂20日前(穂肥Ⅰ施用時期)のSPAD値(葉緑素計値)と出穂10日前のSPAD値には正の相関があり、出穂20日前の葉色から穂肥施用量を判断することで出穂10日前の葉色を制御できる(図3)。
  5. したがって、「千本錦」の品質安定化のためには、出穂20日前のSPAD値が30以下のときは窒素で 2.0kg/10a、31~34のときは 1.5kg/10a、35~37のときは 1.0kg/10aを穂肥Ⅰとして施用する(表1)。

[成果の活用面・留意点]

  1. 目標精玄米収量を 45kg/aとし、穂数は植付け本数の調整等により、m2 あたり 270本程度を目標とする。
  2. 多肥栽培は玄米中のタンパク含有量を高め、酒米としての品質を低下させるため施用基準以上の施肥は行わない。また、穂肥Ⅱ(出穂10日前)も施用しない。

 [その他]
研究課題名:酒造好適米「広系酒29号」の栽培マニュアルの作成
予算区分 :県単
研究期間 :平成12年度(平成10年~平成11年)
研究担当者:勝場善之助、土屋隆生、大川浩史

目次へ戻る