なす台木の新品種「羽曳野育成1号」


[要約]
「アカナス」と「カレヘン」の体細胞雑種の中から、低温伸長性、草勢、根張りに優れた系統を選抜した。選抜系統の自殖第1代「羽曳野育成1号」は、水なす用台木として特性に優れ、収量性が向上する。
大阪府立農林技術センター・食品・資源部・生物資源室
[連絡先] 0729-58-6551
[部会名] 生物工学、野菜・花き(野菜)
[専  門] バイテク、育種
[対  象] 果菜類
[分  類] 普及

[背景・ねらい]
 大阪府泉州地域特産の水なすは、ほのかな甘みが絶品と賞賛され、浅漬けの人気の高まりとともに需要が増加している。市場では高値で取り引きされているが、収量や果実品質の不安定さが、生産の拡大を妨げる要因となっている。そこで、「アカナス」と「カレヘン」の体細胞雑種の中から、低温伸長性や根張りに優れた系統を選抜し、水なす栽培に適した台木品種を育成する。

[成果の内容・特徴]

  1. 平成3~4年になす台木品種の「アカナス(Solanum integrifolium )」と「カレヘン(S. sanitwongsei )」の細胞融合を行い、平成6年までに24系統の体細胞雑種を作出した。
  2. 平成7年、草勢、根張り、採種性に優れた6系統の体細胞雑種を選抜し、平成8~9年の2年間、6系統の自殖第1代の系統適応性試験を実施してS1-9系統を選抜した。
  3. 平成10~11年の2年間、S1-9系統の現地適応性検定を実施し、目標とする特性を有しているのを確認した。
  4. 「羽曳野育成1号」の特性は以下の通りである。
    1) 発芽は「アカナス」より数日遅れるが、子葉展開時の実生は大型で低温伸長性に優れ、接ぎ木適期は「アカナス」と同等の播種後50日で、「カレヘン」より2週間早い(表1)。
    2) 接ぎ木所要時間は「アカナス」と同等で短く、活着率も「カレヘン」より高い(表1)。
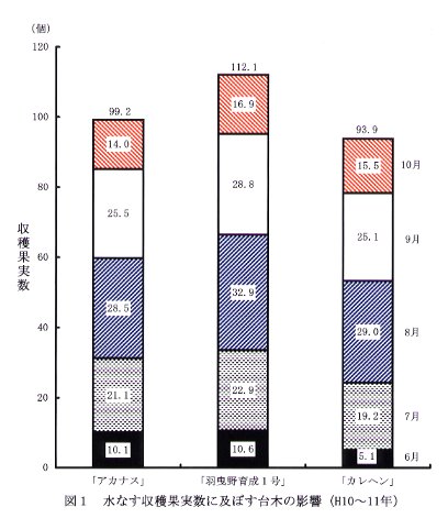
    3) 水なす露地栽培作型における株当たりの総収穫果実数は112.1個で、「アカナス」の 99.2個、「カレヘン」の93.9個に対し、増収となる(図1)。また、6~7月の収穫果実数は33.5個で、初期収量が多い(図1)。
    4) 上位等級(A品+B品)の構成率が高くなり(図2)、収益的に有利である。

[成果の活用面・留意点]

  1. 平成12年3月27日付けで品種登録の出願(第12479号)を行い、10月20日に出願公表(農林水産省告示第1322号)された。
  2. 平成13年度より大阪府園芸優良健全種苗供給事業を通じて、採種用苗を供給する。
  3. 無加温半促成栽培作型や「千両二号」での適応も可能である。

[その他]
研究課題名:非対称細胞融合による地域特産作物の改良技術の開発(平成3~7年)
      有用遺伝資源の収集・保存とその利用技術の開発(平成8~9年)
      作出した体細胞雑種の選抜・固定による新品種の育成(平成10~12年)
予算区分 :地域バイテク、府単 研究期間 :平成12年度(平成3~12年) 研究担当者:岩本 嗣、中曽根 渡、辻 博美 発表論文等:Solanum integrifolium S. sanitwongsei の体細胞雑種自殖第1代の台木特性について、育種学雑誌、48巻別冊2号、202、1998.
S. integrifolium S. sanitwongsei の体細胞雑種自殖第1代の水なす台木としての収量性について、育種学研究、1巻別冊2号、614、1999.

目次へ戻る