[成果情報名]

酒造好適米早生品種「風鳴子」の高品質・安定栽培法

[要約] 造好適米早生品種「風鳴子」は4月中旬に移植を行う。施肥法は、基肥、穂肥施肥体系とし、10a当たり窒素施用量として基肥は6kg、穂肥は3kgとする。穂肥施用時期は、出穂約20日前とする。
[キーワード]イネ、酒造好適米、風鳴子、収量、窒素施肥法、玄米千粒重、タンパク質
[担当]高知県農業技術センター・作物園芸部・水田作物科
[連絡先]088-863-4916、yukishige_yamasaki@ken4.pref.kochi.jp
[区分]近畿中国四国農業・作物生産(夏作)
[分類]技術・参考

[背景・ねらい]
 高知県では酒造好適米需要量の95%(1999年)を他県に依存している。地酒志向が高まるなか、県独自の酒造好適米生産への要望が一段と強まり、早造り用としての酒造好適米早生品種が求められたことから‘風鳴子’を育成し、2001年度に県の奨励品種として採用した。現場での生産は2002年から始められたが、収量や玄米の千粒重およびタンパク質含有率などの酒造適性にばらつきが見られる。そこで、‘風鳴子’の玄米千粒重27g以上、タンパク質含有率7%以下で10a当たり500kg程度の収量を得るための栽培法を確立する。

[成果の内容・特徴]

  1. 移植時期が遅くなると千粒重はやや増加傾向であるが、収量は低下し、タンパク質含有率は上昇するため、移植適期は4月中旬とする(図1)。この場合、収穫時期は8月上旬となる。
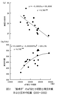
  2. 目標収量を10a当たり500kgとした場合の収量構成要素は、m2当たり籾数が23,000粒程度必要であることから、籾数と穂数の関係(r=0.831**)から穂数はm2当たり約380本、籾数と登熟歩合の関係(r=-0.609**)から登熟歩合は80%程度となる。この場合、千粒重は約27.5g、タンパク質含有率は7%程度の玄米が得られる(図2)。
  3. 玄米千粒重27g以上、タンパク質含有率7%以下で安定収量を得るための施肥法は、基肥、穂肥施肥体系で、10a当たり窒素施用量を基肥6kg、穂肥3kgとする。また、遅い穂肥は千粒重や登熟歩合が大きくなるがタンパク質含有率が増加することから、穂肥は出穂約20日前に行う(図4)。

[成果の活用面・留意点]

  1. 粒厚が大きい品種であるため、玄米の調整には2.0mm目のフルイを用いる。
  2. 窒素施用量は土壌条件によって多少調整が必要である。
  3. 耐冷性はあまり強くないことから、極端な早植えはしない。
  4. 適用範囲は、高知県の早期水稲栽培地帯とする。

[具体的データ]


[その他]
研究課題名本県育成酒造好適米‘吟の夢’および‘風鳴子’(高育酒63号)の安定栽培技 術の確立
予算区分県単
研究期間2000~2002年度
研究担当者山崎幸重、坂田雅正、岩崎昭雄

目次へ戻る