| [成果情報名] | 反応速度論的手法による粉砕籾殻牛糞堆肥連用土壌の窒素無機化パターンの予測 |
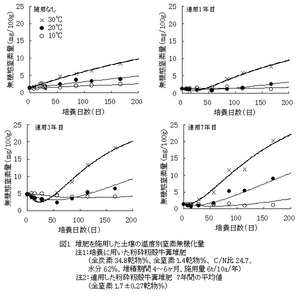
| [要約] | 粉砕籾殻牛糞堆肥を連用した畑土壌からの窒素無機化量は、施用初年目では堆肥を施用しない場合より減少するものの、連用年数が長くなると増加する。反応速度論的解析を行うことで、このような堆肥の連用による窒素無機化パターンの変遷を数値化できる。 |
| [キーワード] | 牛糞堆肥、連用、窒素、無機化、反応速度論 |
| [担当] | 岡山農総セ・農業試験場・化学研究室 |
| [連絡先] | 電話番号 0869-55-0532、電子メール hiroko_shiba@pref.okayama.lg.jp |
| [区分] | 近畿中四国農業・生産環境(土壌・土木・気象) |
| [分類] | 科学・参考 |
[具体的データ]


| [その他] | ||
| 研究課題名 | : | 有機質資材の品質評価と無機化予測に基づく合理的施肥技術の開発 |
| 予算区分 | : | 国補 |
| 研究期間 | : | 2001~2004年度 |
| 研究担当者 | : | 芝 宏子、大家理哉、石橋英二 |