水稲~タマネギ作付け体系における牛ふん-オガクズたい肥連用による土壌の化学性の改善

[要約]
 
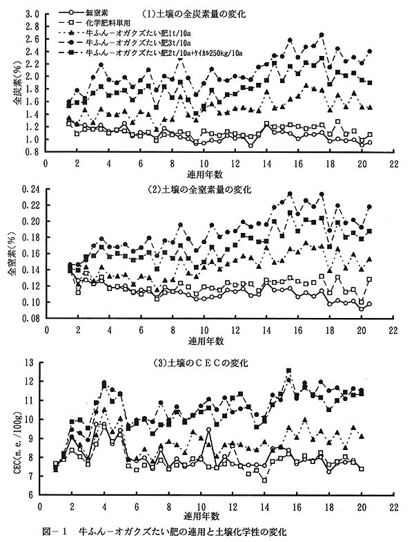
水稲~タマネギの作付け体系で牛ふん-オガクズたい肥連用すると、土壌の全炭素量、全窒素量及び陽イオン交換容量は20年間に渡ってほぼ直線的な増加傾向を示す。これらの年間増加量はたい肥の施用量か多くなるほど大きくなる。
香川県農業試験場・土壌肥料担当
[連絡先]087-89-1121
[部会名]生産環境(土壌肥料)
[専門]土壌
[対象]稲類
[分類]指導

[背景・ねらい]

土壌への有機物施用は、土壌の化学性や物理性などの改善に効果の大きいことか認められているが、その効果を把握するためには、作物の栽培条件などを固定した長期にわたる有機物の連用試験を行うことが重要である。そこで、水稲~タマネギの作付体系で、牛ふん-オガクズたい肥の長期の連用が、香川県農業試験場ほ場の土壌の化学性に及ぼす影響を検討するため、1976年から20年間ほぼ同一条件で試験を行った。

[成果の内容・特徴]
  1. 水稲~タマネギの作付け体系で牛ふん-オガクズたい肥を連用することにより、土壌中の全炭素および全窒素量は、ほぼ直線的に増加する。一方、無窒素区では、これらの値はわずかながら減少していく傾向が認められる。
  2. 年間の全炭素および全窒素含有卒の増加は、牛ふん-オガクズたい肥1t/10a施用で、各々2×10021g2.jpg (1798 バイト) %、1.8×10021g3.jpg (1782 バイト)%牛ふん-オガクズたい肥2t/10a+ケイカル250㎏/10a施用で2.7×10021g2.jpg (1798 バイト)%、2.6×10021g3.jpg (1782 バイト)%牛ふん-オガクズたい肥3t/10施用で3.5×10021g2.jpg (1798 バイト)%、3.5×10021g3.jpg (1782 バイト)%である。
  3. 土壌中の陽イオン交換量は、試験開始後6年間は大きく変動したが、以降牛ふん-オガクズたい肥連用では、ほぼ直線的に増加する。年間の増加量は、牛ふん-オガクズたい肥1t/10a施用で0.049m.e./100g、牛ふん-オガクズたい肥2t/10a+ケイカル250㎏/10a施用で0.13m.e/100g、牛ふんたい肥3t/10a施用で0.14m.e./100gとなった。
  4. 水稲~タマネギの作
  5. 目標とする野菜栽培土壌中の全炭素含有率を約2.3%(腐植含有率で4%)とすると、供試土壌において牛ふん-オガクズたい肥1t/10aの連用ではこの値に達するのに約50年か必要であり、牛ふん-オガクズたい肥3t/10aの連用では約15年で達成できる。
        図1 牛ふん-オガクズたい肥の連用と土壌化学性の変化
 
[成果の活用面・留意点]
  1. 灰色低地土壌での水稲~野菜の作付け体系に適用できる。
    使用した牛ふん-オガクズたい肥の全炭素含有率は約14%,全窒素含有率は約0.5%である。

 [その他]
 
研究課題名:土壌環境基礎調査(基準点調査)
予算区分:国補(土壌保全)
研究期間:昭和51年~平成8年
研究担当者:香西清弘、平木孝典
発表論文等:香川県農業試験場研究報告
 
目次へ戻る