プレスリリース
(研究成果)大量合成可能なジャガイモシロシストセンチュウ ふ化促進物質を発見

- "騙して"ふ化させ、餓死に導く新たな防除法へ -

情報公開日:2025年10月21日 (火曜日)

農研機
日本曹達株式会
北海道大

ポイント

農研機構、日本曹達株式会社、北海道大学の研究グループは、ばれいしょの世界的な害虫であるジャガイモシロシストセンチュウ(Globodera pallida)に対する、化学構造が単純で大量合成が可能なふ化促進物質を新たに発見しました。ほ場試験では、この物質の処理により土壌中のジャガイモシロシストセンチュウ密度を大幅に低減させることに成功しました。本成果は、全く新しい作用機作の防除技術の実現に向けた一歩となるものであり、持続可能なばれいしょ生産への大きな貢献が期待されます。

概要

ばれいしょの世界的な重要害虫の一つ、ジャガイモシロシストセンチュウ(以下、Gpと略)は、2015年に国内で初めて確認され、防除対策の確立が求められました。これに対し、捕獲作物1)による防除技術が開発され、防除に実用されています。しかし、Gpのような難防除害虫に対しては複数の防除技術を組み合わせて対策を実施することが重要なため、さらなる防除技術の開発も必要とされていました。
Gpの卵は、寄主植物の根から分泌される特異的な物質「ふ化促進物質」に反応してふ化する特性があります。しかし、ふ化した幼虫は寄生できなければ数週間で寄生活性を失い、やがて死滅(餓死)します。この特性を利用し、寄主植物が存在しない状況でふ化を誘導することで、Gpを積極的に低減させることが可能です(図1)。このふ化を「自殺ふ化」と呼びます。
このような特性を活用した防除法の開発は以前から試みられてきましたが、これまでに解明された寄主植物由来のふ化促進物質は極めて複雑な化学構造を有しており、合成が困難で実用化には至っていませんでした。
そこで我々は、植物由来に限らず、大量合成が可能な単純構造のふ化促進物質を見出し、防除に活用することを目的として、化合物ライブラリー等を利用した大規模な探索を行いました。その結果、Gpに対して高いふ化促進活性を示す、単純な化学構造の化合物群を発見しました。有望化合物の一つを合成し、Gp発生ほ場に処理したところ、土壌中のGp密度を大幅に低減させることに成功しました。
この成果は、「Gpを騙してふ化させ、餓死に導く」という全く新しい作用機作の防除技術の実現に向けた一歩となるものであり、効率的かつ確実なGp防除の実現を通じて持続可能なばれいしょ生産への貢献が期待されます。
本研究成果は国際学術誌「Plant Disease」に掲載されました。

図1 合成ふ化促進物質による新たな防除法のメカニズム
ふ化促進物質は、寄主植物の存在を知らせる合図としてセンチュウに認識されます。
合成ふ化促進物質を用いることで、この合図を逆手に取り、
センチュウを"騙して"ふ化させ、寄主植物が存在しない環境下で餓死に導くことができます。

関連情報

予算:農研機構生研支援センター「革新的技術開発・緊急展開事業」(うち先導プロジェクト)J005390
特許:JP7628231「ジャガイモシロシストセンチュウ防除剤」

問い合わせ先など
研究推進責任者 :
農研機構 北海道農業研究センター 所長 奈良部 孝
研究担当者 :
同 研究推進部 技術適用研究チーム長 串田 篤彦
広報担当者 :
同 研究推進部 研究推進室 広報チーム長 竹内 順一

詳細情報

開発の社会的背景

ばれいしょの世界的な重要害虫の一つ、ジャガイモシロシストセンチュウGlobodera pallida(以下、Gpと略。図2)が2015年に国内で初めて確認され、ばれいしょの健全生産が脅かされる懸念から大きな問題になりました。翌年からは、植物防疫法に基づいて「緊急防除2)」が開始され、「寄主植物栽培の禁止」や「土壌が付着する植物地下部等の移動制限」などのまん延を防ぐ対策とともに、Gpの密度を減らす防除対策も行われています。この防除では、捕獲作物と呼ばれる「Gpの密度を減らす効果がある植物」を用いた防除技術が開発され、実用されています。しかし、Gpのような難防除害虫に対しては、複数の防除技術を組み合わせて対策を実施することが重要なため、新たな防除技術の開発が必要とされました。

研究の経緯

Gpは、寄生・増殖できる植物が少なく、好適な寄主植物はばれいしょやトマトに限られます。これらに確実に寄生して増殖するために、Gpはそれらの根から分泌される特有の物質「ふ化促進物質」に反応してふ化する特性を有しています。
ふ化促進物質としてはこれまでにソラノエクレピンA(図3)およびBが同定されており、極めて低濃度でも卵が反応し、ほとんどがふ化します。しかし、ふ化した幼虫は寄主植物に寄生できなければ、数週間で寄生活性を失うため、この特性を防除に活用する試みが以前から行われてきました。
すなわち、合成したふ化促進物質を用いて、寄主植物が存在しない条件下でGpをふ化させることができれば、効率的にGpを低減させることが期待できます。しかし、ソラノエクレピン類は化学構造が極めて複雑なため、合成することが困難で、実用化には至っていませんでした。
そこで我々は、寄主植物由来に限らず、大量合成が可能な単純構造のふ化促進物質を見出し、防除に活用することを目的として研究を開始しました。

研究の内容・意義

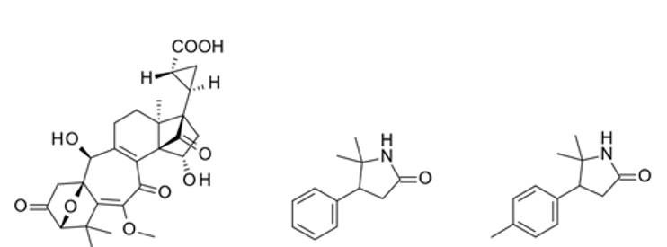
まず、東京大学創薬機構が所有する化合物ライブラリー「コアライブラリー」に所蔵される9,600種の化合物を用いて、Gpに対するふ化促進活性を評価した結果、9種類の化合物でGpのふ化を促進する効果が認められました。次に、これら9化合物と化学構造が類似する物質を市販品から191化合物抽出し、ふ化促進活性を調査した結果、「5,5-ジメチル-4-フェニルピロリジン-2-オン」(図3)がGpを約90%ふ化させる高い活性を有することが明らかになりました。この化学構造は比較的単純で、大量合成も見込めました。
そこで、この物質と化学構造が類似する化合物をさらに210点合成し、活性を評価した結果、多くの活性物質が確認されました。中には、濃度が1mlあたり10ng(1億分の1g)という極めて低い濃度でもGp卵を90%以上ふ化させる高活性物質も複数含まれていました。
このうち、ふ化促進活性が高く、化学構造から低コストでの合成が可能と判断された「5,5-ジメチル-4-(p-トリル)ピロリジン-2-オン」(図3)を合成し、Gpが発生する畑に処理した結果、1m2あたり300mgという少ない投入量でも土壌中のGp密度を83~95%減少させ、さらに3mgという極めて少ない投入量でも有意な密度低減効果が確認されました(図4)
これにより、Gpのふ化をコントロールし、自殺ふ化に追い込んで密度を低減させるという、全く新しい防除法が実現可能であることが示されました。本成果は今後、効率的にGp密度を低減させられる新たな防除技術の開発に繋がると期待されます。

<
図2 ジャガイモシロシストセンチュウのふ化幼虫(左)とばれいしょの根に寄生して成育した雌成虫
(乳白色の丸い粒)とシスト(茶褐色の丸い粒)

ふ化幼虫の体長はおよそ0.4mm。
雌成虫とシストの直径はおよそ0.4~0.8mm。
雌成虫は自らの体内に数百個の卵を宿して一生を終え、
体表が硬化してシストになる。
図3 天然のふ化促進物質と今回見出された化合物(代表)の化学構造
左からソラノエクレピンA、5,5-ジメチル-4-フェニルピロリジン-2-オン、5,5-ジメチル-4-(p-トリル)ピロリジン-2-オンの化学構造を示しています。ソラノエクレピンAは複雑な構造を有し、52段階におよぶ化学合成が必要ですが、今回見出した化合物の構造ははるかに単純で、市販化合物から数工程で合成することが可能です。
図4 ほ場試験におけるGp密度低減効果
5,5-ジメチル-4-(p-トリル)ピロリジン-2-オンを1m2あたり3、30、300mgの投入量で処理した試験を2回実施しました(試験1および2)。投入量300mg/m2の場合、土壌中のセンチュウ卵密度は初期の約5-17%まで減少し、3mg/m2でも有意な密度低減効果が認められました。

今後の予定・期待

本研究により発見された単純構造のふ化促進物質は、大量合成が可能と見込まれており、実用的なGp防除剤としての開発が期待されます。また、Gpは世界各地で問題になっていることから、本法は海外においても広くGp課題の解決に貢献できると期待されます。
今後は、様々な土壌条件や気象条件下での効果の検証、最適な施用方法の確立、自然生態系への影響評価(安全性確認)などを進め、実用的なGp防除技術として完成させていく予定です。この新たな防除技術が実用化されることで、より効率的かつ確実なGp防除が可能になり、持続可能なばれいしょ生産の維持・確立に大きく寄与すると期待されます。

用語の解説

捕獲作物
捕獲作物とは、その根からふ化促進物質を生産してジャガイモシロシストセンチュウをふ化させる効果を有する一方で、強力な抵抗性を有する植物のことを言います。ふ化幼虫がこれらの植物の根に寄生しても、植物が有する抵抗性の作用により十分に栄養を得ることができず、雌個体は成虫まで成育できずに死亡し、次世代を残すことができません。ふ化促進物質の効果によって幼虫を目覚めさせ、根に取り込んで一網打尽にすることから「捕獲作物」と呼ばれます。
[概要へ戻る]
緊急防除
国内に侵入・発生した病害虫によって農作物等に大きな被害が生じるおそれがある場合、その病害虫を駆除し、まん延を防止するために、植物防疫法第4章「緊急防除」に基づいて緊急的に実施される防除措置です。Gp の緊急防除では、Gp が確認されたほ場での防除に加え、➀寄主植物栽培の制限・禁止、➁病害虫が付着しているおそれのある植物・容器等の移動制限、およびその廃棄の命令、といった対策が実施されています。
[開発の社会的背景へ戻る]

発表論文

論文題名:Discovery of hatching stimulants for Globodera pallida with simple chemical structures and their application for nematode density reduction in soil

著者:Atsuhiko Kushida, Jun Kanazawa, Itaru Sakata, Yuto Ikeda, Takashi Kitayama, Kosuke Kato, Takuya Itabashi, Yuki Sugimoto, Satoshi Koizumi, Yoko Osawa, Tsutomu Inoue, and Keiji Tanino

雑誌名: Plant Disease

DOI: doi.org/10.1094/PDIS-03-25-0667-RE